深切缅怀恩师“圆霖大师网上书画展”(书法)
深切缅怀恩师“圆霖大师网上书画展”
.
滴水草堂书画网 (http://www.dsct.cn)
滴水草堂画廊 (http://www.dscthl.cn) 赵立军编辑
.
.
(右起)弟子立军、叶川林、李建华、江建宁与圆霖大师留影
.
我国佛教界当代德高望重的著名高僧、佛教界国画大师,南京市佛教协会名誉会长,南京狮子岭兜率寺方丈圆霖法师,因病医治无效,于2008 年5月6日在南京市狮子岭兜率寺内圆寂,享年93岁。听到消息我内心非常难过,九十年代初,我经老友叶川林先生(已故)引见,拜访圆霖大师并皈依大师门下,赐法名正立。十几年来,我一直上山看望恩师,向师傅学习禅学和佛教书画理论。我怀念恩师,今天我整理师傅部分书画,供大家学习和缅怀,以此表达我的哀思。
.
.
圆霖大师像
.
藏家有云:齐白石的虾,徐悲鸿的马,圆霖的观音菩萨。可见圆霖大师善画观世音大士,又可知藏家是如何喜爱圆霖大师的书画。
.
圆霖大师俗姓杜,名振山,笔名大雄山人,别号山僧。1916年生于安徽,至今已有 93高寿。虽近期颐之年,但老人耳聪目明,齿龈坚固,思路敏捷,幽默风趣之天性仍在。大师少时早慧,并亲近佛门,尤为喜爱书画,闻名乡里。20岁时拜民间画师刘启唐习画,22岁时结交皖北名宿梅雪峰,并参加宿县书画社,曾作《慧可断臂图》,初显慧根。后只身游走名山大川,结交贤达之士。其间出皖豫、过川鄂,又在洛阳师从李荔贤、刘桂林两位画家,画艺益精。后至沪上大南门灵山寺,听讲莲花经,受了愿法师启迪,顿悟尘缘,遂有投身佛门的念头。
.
32岁时,大师来到南京狮子岭兜率寺,拜体义法师为师,剃度为僧,法名圆霖。彼时至今已近60载,将为一个甲子。在兜率寺,圆霖大师曾为江西云居山时年120岁的虚云大师写真,此举得到虚云大师欣然赞许。为了钻研佛学,圆霖法师又到五台山潜心研究佛学达五年之久。研修之际,圆霖大师还绘有巨幅画作《五台山全景图》。此图为太原市博物馆收藏。在马鞍山林散之艺术馆有一幅《散之夫子造像》,就是圆霖大师为林散之老先生所画。因与林氏翰墨之缘,相交甚厚,故有此画作传世。散之老人的孙女林丽丹女士回忆,圆霖大师为林老造像之时,非对其相片作画,亦未对面写真,而是仅凭心忆。如此作画而能栩栩如生、呼之欲出,非有大功力者而莫能为。
.
圆霖大师善画观音、西方三圣等佛教人物画。早年工笔,一丝不苟;晚年写意,简约恣意,三笔两笔,形同书写,而人物神情毕现,可见书画同源之精神。笔者曾观赏圆霖大师所绘13幅《观世音菩萨救苦救难图》,此图实则为观音大士救济人间苦厄之13个故事,所以幅幅画面不同。笔者所见《观世音菩萨三十二应身》之19幅应身图,亦图图有别。圆霖大师曾应苏州灵岩寺方丈明学法师之邀,图绘工笔重彩人物画之莲宗十三祖师像,瞻仰之中,但见张张传形、页页传神。同出大师之手的16尊简笔写意人物画,则风格迥异,惟见墨线勾勒,赭色淡着,素雅平淡之中益增佛界气氛之庄严。
.
圆霖大师又喜作山水花草,或黄山、或九华,写兰花、写修竹,无不意趣高古、虚静空灵。有专家评价其山水花草之勾染皴擦深得黄宾虹新安画派之神髓。人们喜爱珍藏圆霖大师的书画作品还有一个原因,那就是继南京历史上清初四画僧之弘仁、髡残、朱耷、石涛之后,圆霖大师当为他们的薪火传人。据说大师一生书画作品逾万件,皆随缘散于民间,有缘者皆有珍藏。
|
.
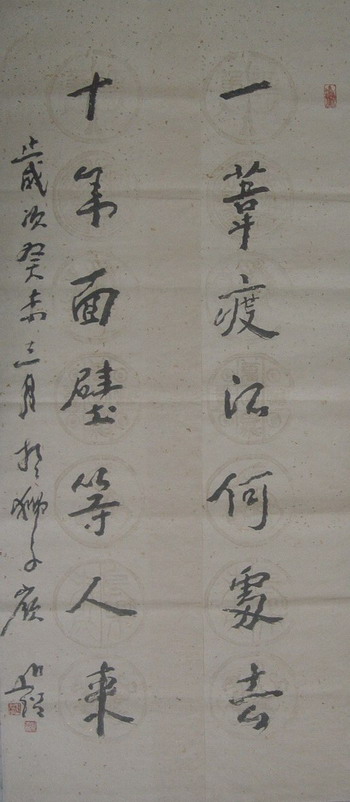
(圆霖大师书法)
.
.
“观音大士像”
.
.
“关公”
.
.
“寿”
。
.
.
.
搜索更多相关主题的帖子:
书画 恩师 圆霖大师 佛教